Varianza campionaria
La varianza campionaria è un indicatore di variabilità statistica calcolabile in un campione anziché in una popolazione.
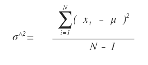
La formula della varianza campionaria

Nota. Nella varianza campionaria il divisore è ridotto di un'unità (N-1) . Pertanto, si tratta di una formula diversa dalla varianza calcolata sull'intera popolazione.
La differenza tra varianza e varianza campionaria
Sia la varianza che la varianza campionaria sono indicatori della dispersione statistica.
Tuttavia, la varianza si utilizza sull'intera popolazione statistica, mentre la varianza campionaria soltanto su un campione della popolazione.
Perché nel campione non si utilizza la varianza?
Un campione è composto da un minore numero di elementi rispetto alla popolazione.

Quindi, la dispersione intorno al valore medio è inferiore.
La varianza del campione risulterebbe inferiore rispetto a quella della popolazione da cui è stato estratto.
Pertanto, il campione non potrebbe essere rappresentativo della popolazione.
Per attenuare questa distorsione si utilizza la formula della varianza campionaria.

Nella formula della varianza campionaria il denominatore N viene sostituito con N-1. Il divisore è inferiore.
Grazie a questa correzione la varianza calcolata sul campione e sulla popolazione si riallineano tra loro.
In questo modo il campione può rappresentare l'intera popolazione.
Un esempio pratico
Una fabbrica produce 1000 bicchieri ogni ora. Per verificare se i macchinari funzionano bene, l'impresa deve verificare la resistenza dei bicchieri.
Tuttavia, il test di resistenza causa la rottura del prodotto. È pertanto impossibile provare la resistenza su tutte le unità di prodotto, perché equivarrebbe ad azzerare la produzione.
Per risolvere il problema l'impresa estrae dalla produzione oraria un campione composto dal 1% delle unità di prodotto ossia 10 bicchieri.

Poi effettua i test di resistenza sui dieci bicchieri ottenendo dieci dati.

A questo punto calcola la media dei valori ( μ=10.5 ).

Infine, calcola la dispersione statistica intorno alla media utilizzando la varianza campionaria ( σ2=5.16 ).

Le informazioni ottenute sul campione ( 10 bicchieri ) sono rappresentative dell'intera popolazione ( 1000 bicchieri ).
Così facendo l'impresa riesce a capire se i macchinari hanno funzionato bene nell'ultima ora oppure no, sacrificando soltanto una minima parte della produzione.
Domande e risposte
- Come si calcola la varianza campionaria su Excel?
Sul foglio di calcolo la funzione per calcolare la varianza campionaria è VAR( num1;num2; ... ). La sintassi della formula è identica sia su Excel che su Calc.

