Infinitesimi
Si dice infinitesimo per x→c il limite di una funzione f(x) che tende a zero, dove c è numero finito o infinito.

Esempio. La seguente funzione è un infinitesimo perché il limite della funzione tende a zero per x→∞.

Gli infinitesimi simultanei
Gli infinitesimi simultanei sono due o più funzioni f(x), g(x), ... , z(x) che tendono a zero per lo stesso valore x→c.

A cosa servono gli infinitesimi?
Nel calcolo infinitesimale il confronto tra due infinitesimi consente di calcolare il limite più rapidamente.
Esempio. Il limite del prodotto di due infinitesimi simultanei f(x)·g(x) è determinato dal fattore che tende a zero più velocemente rispetto all'altro.

Analizzando il grafico delle due funzioni si può notare come (x-1)2 tenda a zero più velocemente rispetto a (x-1) nell'intorno x=1.

Il confronto tra infinitesimi
Per confrontare due infinitesimi si studia il limite del rapporto tra due funzioni f(x)/g(x).

Nota. Nel confronto si presuppone che esista un intorno I di c tale che g(x)≠0 per ogni x∈I e x≠c.
Il risultato del confronto è classificabile in uno dei seguenti casi:
- Infinitesimo di ordine superiore. La funzione f(x) è un infinitesimo di ordine superiore quando il limite del rapporto f(x) / g(x) per x→c è uguale a zero. La funzione f(x) tende a zero più velocemente rispetto a g(x).
Nota. Se la funzione f(x) è un infinitesimo di ordine superiore rispetto a g(x) allora la funzione g(x) è un infinitesimo di ordine inferiore rispetto a g(x).
- Infinitesimo dello stesso ordine. Le funzioni f(x) e g(x) sono dette infinitesimi dello stesso ordine quando il limite del rapporto f(x) / g(x) per x→c è uguale a un numero l finito e diverso da zero. Le due funzioni convergono a zero con la stessa rapidità.

- Infinitesimo di ordine inferiore. La funzione f(x) è un infinitesimo di ordine inferiore quando il limite del rapporto f(x) / g(x) per x→c è uguale a ± infinito. La funzione f(x) tende a zero più lentamente rispetto a g(x).
Nota. Se la funzione f(x) è un infinitesimo di ordine inferiore rispetto a g(x) allora la funzione g(x) è un infinitesimo di ordine superiore rispetto a g(x).
- Infinitesimi non confrontabili. Le funzioni f(x) e g(x) sono dette infinitesimi non confrontabili se non esiste il limite del rapporto f(x) / g(x) per x→c.

Esempi di infinitesimi simultanei
Nel seguente rapporto (x-1)2 è un infinitesimo di ordine superiore rispetto a (x-1) per x→1.

Allo stesso modo si può dimostrare che (x-1) è un infinitesimo di ordine inferiore rispetto a (x-1)2 per x→1.

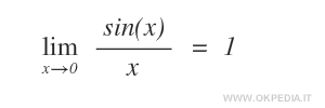
Nel caso delle funzioni sin(x) e x, invece, si tratta di due infinitesimi dello stesso ordine per x→0.

