Indice semplice concatenato
L'indice semplice concatenato è la variazione complessiva di una serie.
Come si calcola l'indice semplice collegato
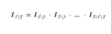
Data una serie numerica, l'indice semplice concatenato è uguale al prodotto degli indici semplici collegati della serie.

A cosa serve l'indice semplice collegato
L'indice semplice collegato consente di conoscere la variazione della variabile statistica durante l'intero periodo.
Un esempio pratico
Nella seguente tabella è rappresentata una serie numerica.
Nella prima colonna è indicato il valore della variabile statistica, mentre nella seconda l'indice semplice collegato.

Per calcolare l'indice semplice concatenato si moltiplicano tra loro gli indici semplici collegati.
In questo caso il prodotto dei numeri indice collegati è 1,11.

Pertanto, durante il periodo considerato la variabile è aumentata del 11%.
E' stato così calcolato l'indice semplice dell'ultimo periodo rispetto al primo ( periodo base ).
Nota. L'indice concatenato della serie è uguale al rapporto tra l'ultimo e il primo valore della serie.

