Esercizi ed esempi integrale per sostituzione
In questa pagina sono svolti alcuni esercizi di calcolo dell'integrale tramite il metodo per sostituzione.
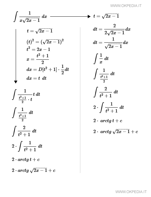
Esercizio 1

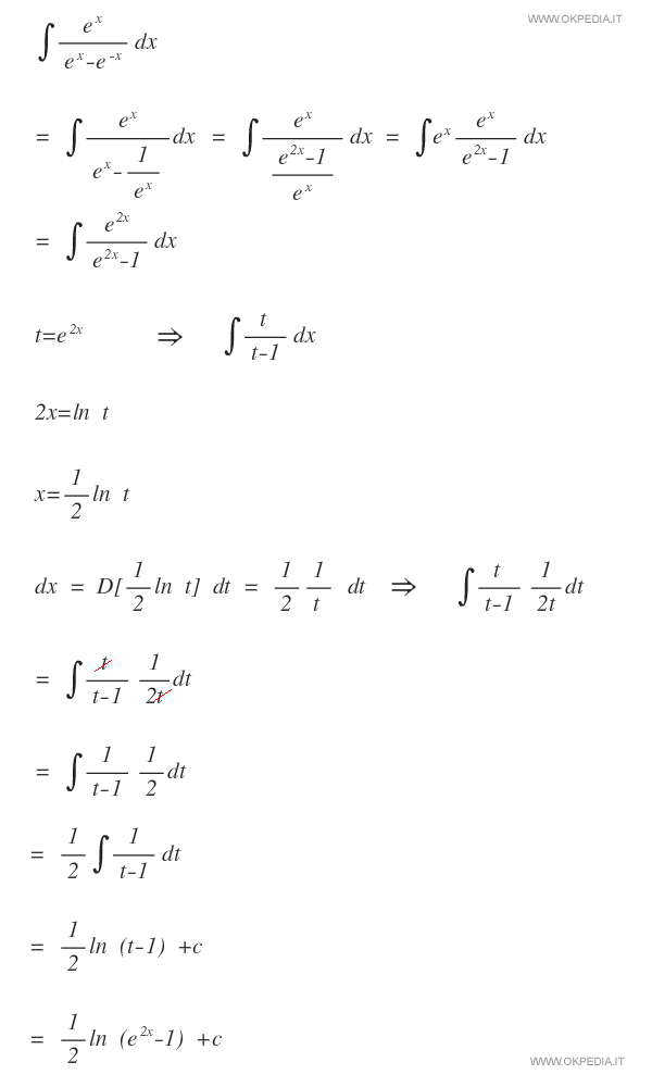
Esercizio 2

Esercizio 3

Esercizio 4

Esercizio 5

Esercizio 6

Esercizio 7

Esercizio 8

Esercizio 9

Esercizio 10

Esercizio 11

Esercizio 12

Esercizio 13

Esercizio 14

Esercizio 15

Esercizio 16

Esercizio 17

Esercizio 18

Esercizio 19
 dx](/data/okpedia/esercizio-integrazione-per-sostituzione-integrale-x-su-radice-cubica-x-piu-uno.gif)
https://www.okpedia.it/esercizi-ed-esempi-integrale-per-sostituzione
Hai una domanda? Scrivila nei commenti e ti risponderemo qui sulla pagina.
